Официальное опубликование правовых актов
ОФИЦИАЛЬНОЕ ОПУБЛИКОВАНИЕ
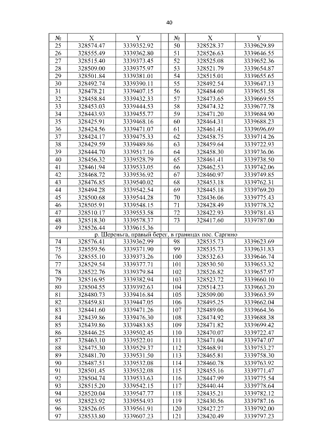
Постановление Министерства природных ресурсов и лесопромышленного комплекса Архангельской области от 30.01.2023 № 4п
"Об утверждении местоположения береговых линий (границ водных объектов) участков водных объектов в границах муниципального образования "Вельский муниципальный район Архангельской области"
(Зарегистрирован 01.02.2023 № 29-2023-204/52)
Номер опубликования: 2901202302010001
Дата опубликования: 01.02.2023
Страница №41 из 113:
Увеличить