Официальное опубликование правовых актов
ОФИЦИАЛЬНОЕ ОПУБЛИКОВАНИЕ
Постановление Министерства природных ресурсов и лесопромышленного комплекса Архангельской области от 10.01.2023 № 2п
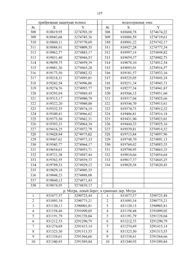
"Об утверждении границ водоохранных зон и прибрежных защитных полос участков водных объектов, расположенных в бассейне рек, впадающих в Белое море на участке от р. Северной Двины до р. Мезень, в границах поселений и населенных пунктов"
(Зарегистрирован 11.01.2023 № 29-2023-204/9)
Номер опубликования: 2901202301120001
Дата опубликования: 12.01.2023
Страница №128 из 264:
Увеличить