Официальное опубликование правовых актов
ОФИЦИАЛЬНОЕ ОПУБЛИКОВАНИЕ
Постановление Министерства природных ресурсов и лесопромышленного комплекса Архангельской области от 23.12.2022 № 43п
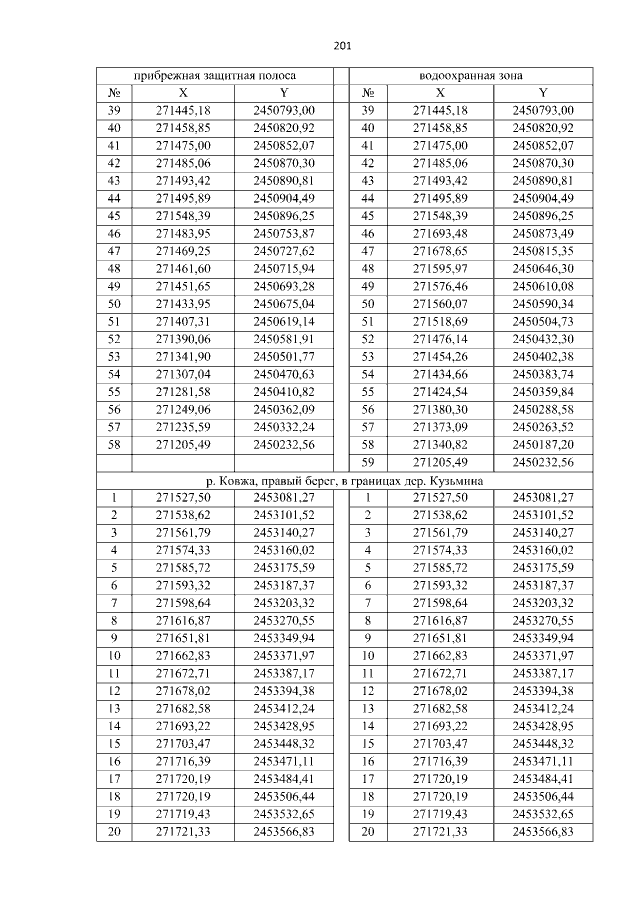
"Об утверждении границ водоохранных зон и прибрежных защитных полос участков водных объектов в границах муниципального образования "Каргопольский муниципальный округ Архангельской области"
Номер опубликования: 2901202212260003
Дата опубликования: 26.12.2022
Страница №202 из 267:
Увеличить