Официальное опубликование правовых актов
ОФИЦИАЛЬНОЕ ОПУБЛИКОВАНИЕ
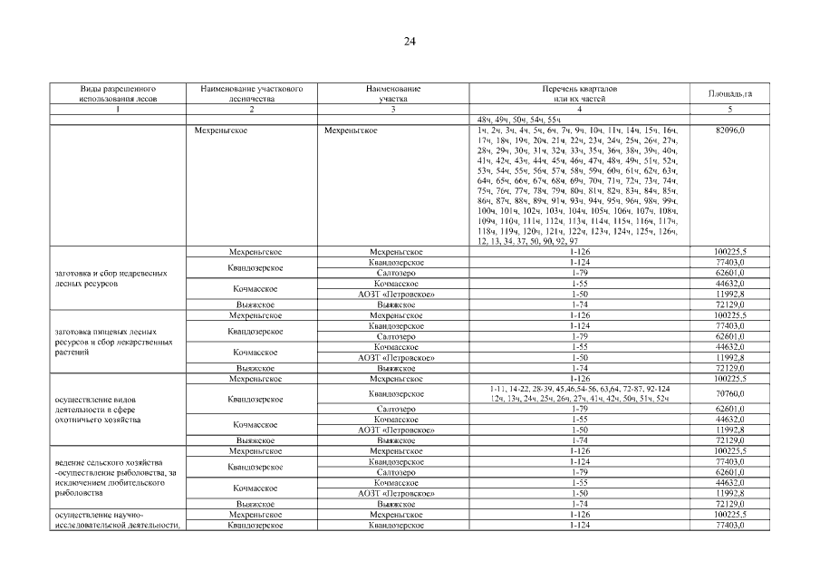
Постановление Министерства природных ресурсов и лесопромышленного комплекса Архангельской области от 30.11.2022 № 38п
"О внесении изменений в лесохозяйственный регламент Пуксоозерского лесничества Архангельской области"
Номер опубликования: 2901202212050001
Дата опубликования: 05.12.2022
Страница №24 из 155:
Увеличить