Официальное опубликование правовых актов
ОФИЦИАЛЬНОЕ ОПУБЛИКОВАНИЕ
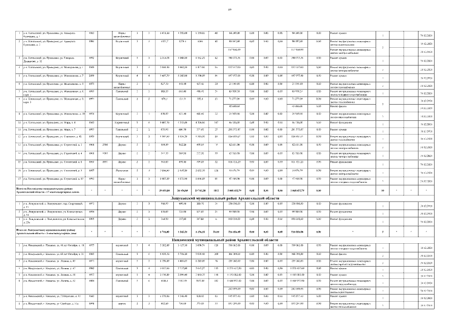
Постановление Министерства топливно-энергетического комплекса и жилищно-коммунального хозяйства Архангельской области от 28.07.2022 № 55-п
"О внесении изменений в краткосрочный план реализации региональной программы капитального ремонта общего имущества в многоквартирных домах, расположенных на территории Архангельской области, на 2020 – 2022 годы"
Номер опубликования: 2901202208010003
Дата опубликования: 01.08.2022
Страница №110 из 112:
Увеличить