Официальное опубликование правовых актов
ОФИЦИАЛЬНОЕ ОПУБЛИКОВАНИЕ
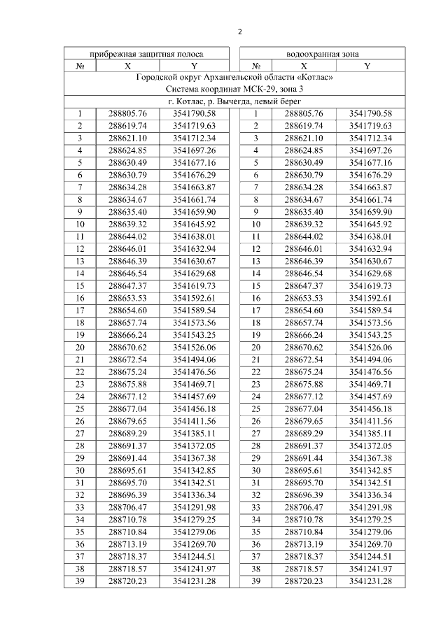
Постановление Министерства природных ресурсов и лесопромышленного комплекса Архангельской области от 28.07.2022 № 15п
"О внесении изменений в постановление министерства природных ресурсов и лесопромышленного комплекса Архангельской области от 29 января 2020 года № 3п"
Номер опубликования: 2901202207290001
Дата опубликования: 29.07.2022
Страница №3 из 137:
Увеличить