Официальное опубликование правовых актов
ОФИЦИАЛЬНОЕ ОПУБЛИКОВАНИЕ
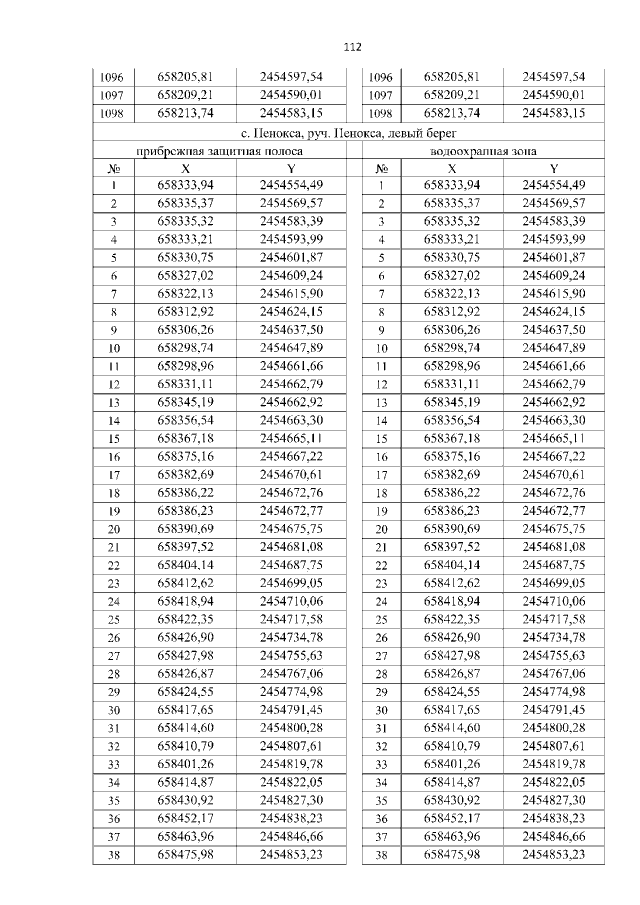
Постановление Министерства природных ресурсов и лесопромышленного комплекса Архангельской области от 15.02.2022 № 2 п
"О внесении изменений в приложение к постановлению министерства природных ресурсов и лесопромышленного комплекса Архангельской области от 3 февраля 2020 года № 7п"
Номер опубликования: 2901202202160009
Дата опубликования: 16.02.2022
Страница №113 из 149:
Увеличить