Официальное опубликование правовых актов
ОФИЦИАЛЬНОЕ ОПУБЛИКОВАНИЕ
Постановление агентства по тарифам и ценам Архангельской области от 28.12.2021 № 87-э/7
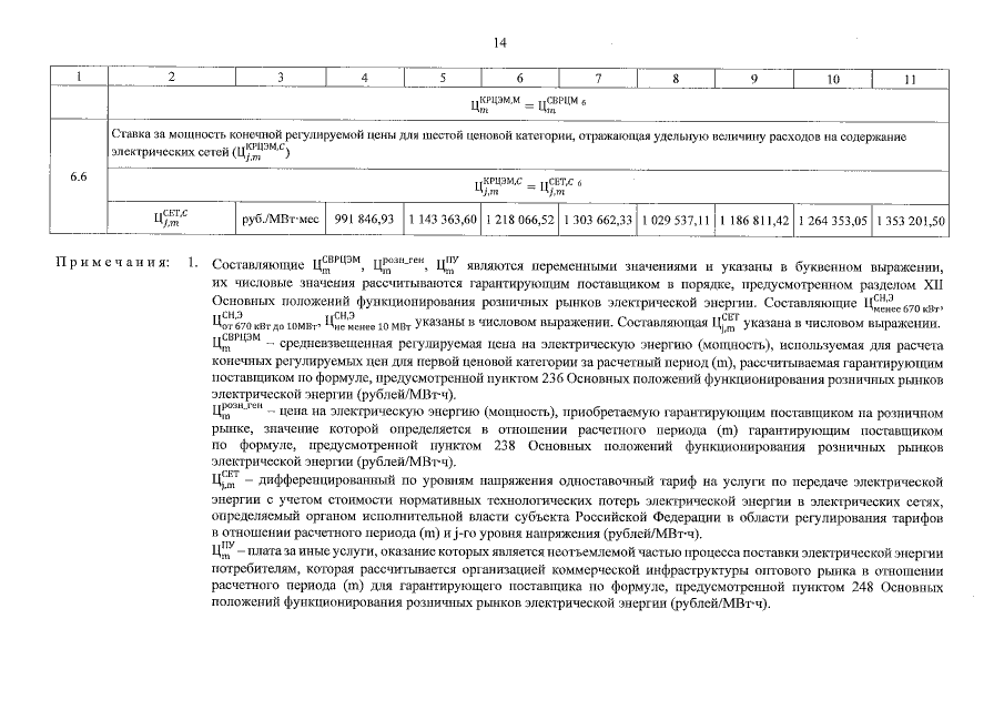
"Об установлении цен (тарифов) на электрическую энергию (мощность), поставляемую гарантирующим поставщиком электрической энергии ООО "ТГК-2 Энергосбыт"
Номер опубликования: 2901202112300005
Дата опубликования: 30.12.2021
Страница №27 из 57:
Увеличить