Официальное опубликование правовых актов
ОФИЦИАЛЬНОЕ ОПУБЛИКОВАНИЕ
Постановление Министерства природных ресурсов и лесопромышленного комплекса Архангельской области от 27.08.2021 № 11п
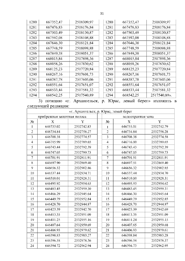
"О внесении изменений в постановление министерства природных ресурсов и лесопромышленного комплекса Архангельской области от 13 апреля 2020 года № 18п"
Номер опубликования: 2901202108300003
Дата опубликования: 30.08.2021
Страница №32 из 56:
Увеличить