Официальное опубликование правовых актов
ОФИЦИАЛЬНОЕ ОПУБЛИКОВАНИЕ
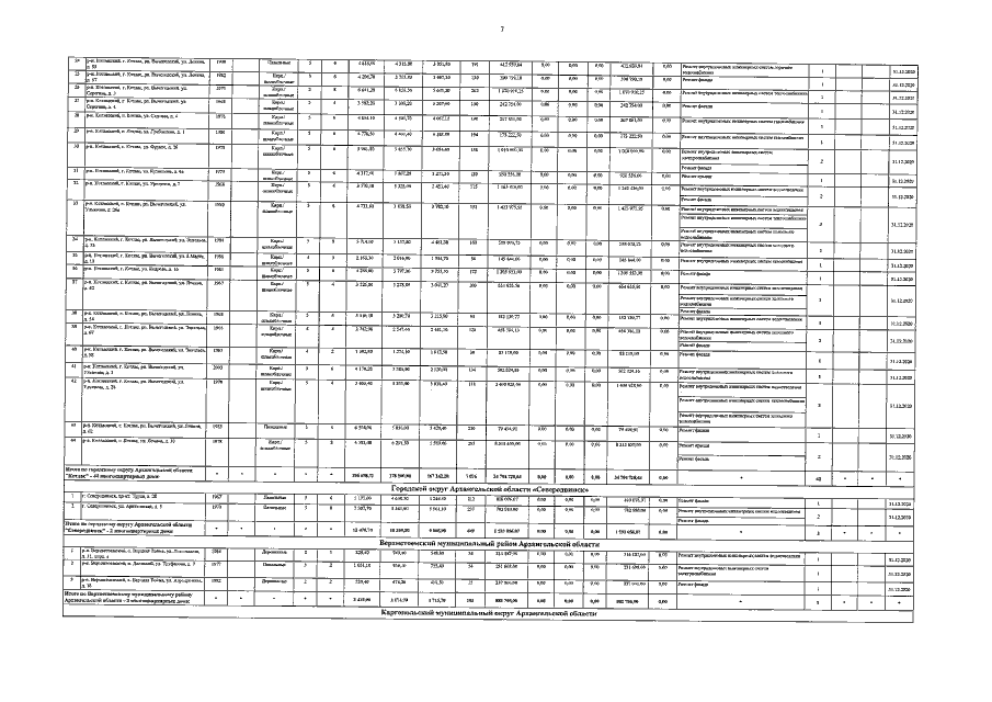
Постановление Министерства топливно-энергетического комплекса и жилищно-коммунального хозяйства Архангельской области от 29.03.2021 № 34-п
"О внесении изменений в краткосрочный план реализации региональной программы капитального ремонта общего имущества в многоквартирных домах, расположенных на территории Архангельской области, на 2020 – 2022 годы"
Номер опубликования: 2901202103300001
Дата опубликования: 30.03.2021
Страница №99 из 108:
Увеличить