Официальное опубликование правовых актов
ОФИЦИАЛЬНОЕ ОПУБЛИКОВАНИЕ
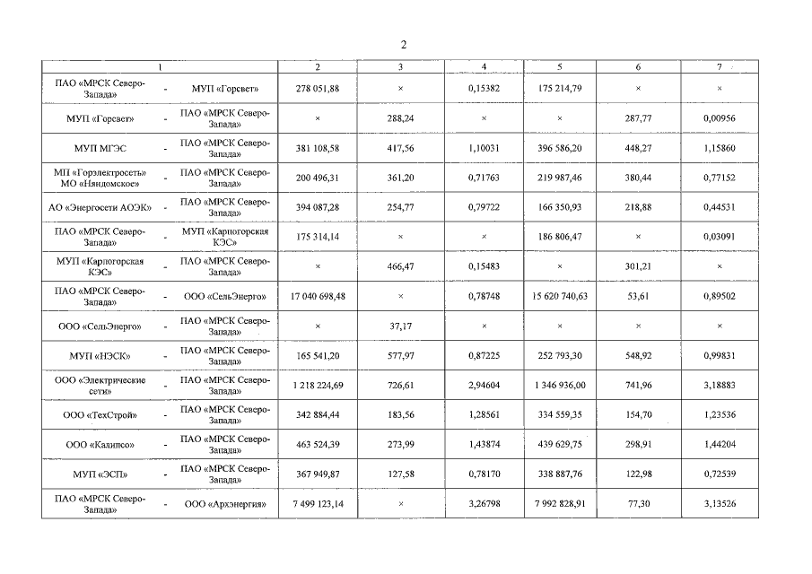
Постановление агентства по тарифам и ценам Архангельской области от 30.12.2020 № 75-э/8
"Об установлении индивидуальных тарифов на услуги по передаче электрической энергии для взаиморасчетов между сетевыми организациями"
Номер опубликования: 2901202012300046
Дата опубликования: 30.12.2020
Страница №3 из 5:
Увеличить