Официальное опубликование правовых актов
ОФИЦИАЛЬНОЕ ОПУБЛИКОВАНИЕ
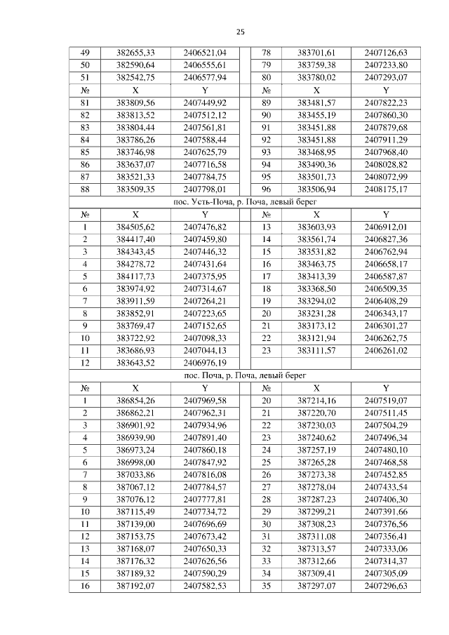
Постановление Министерства природных ресурсов и лесопромышленного комплекса Архангельской области от 08.12.2020 № 44 п
"Об утверждении местоположения береговых линий (границ водных объектов) участков водных объектов в бассейне р. Онеги на участке от устья р. Кена до впадения р. Онега в Белое море в границах поселений муниципального образования "Плесецкий муниципальный район" Архангельской области"
Номер опубликования: 2901202012090001
Дата опубликования: 09.12.2020
Страница №26 из 28:
Увеличить