Официальное опубликование правовых актов
ОФИЦИАЛЬНОЕ ОПУБЛИКОВАНИЕ
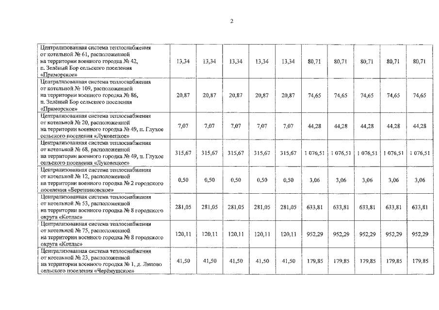
Постановление Министерства топливно-энергетического комплекса и жилищно-коммунального хозяйства Архангельской области от 02.12.2020 № 172-пн
"Об утверждении нормативов технологических потерь при передаче тепловой энергии, теплоносителя по тепловым сетям,расположенным на территориях городского округа Архангельской области "Северодвинск", городского округа Архангельской области "Котлас", городского поселения "Березниковское" Виноградовского муниципального района Архангельской области, городского поселения "Мезенское" Мезенского муниципального района Архангельской области, городского поселения "Коношское" Коношского муниципального района Архангельской области, городского поселения "Обозерское" Плесецкого муниципального района Архангельской области, сельского поселения "Приморское", сельского поселения "Талажское", сельского поселения "Лисестровское" и сельского поселения "Боброво-Лявленского" Приморского муниципального района Архангельской области, сельского поселения "Черёмушское" Котласского муниципального района Архангельской области,сельского поселения "Луковецкое" Холмогорского муниципального района Архангельской области, эксплуатируемым Жилищно-коммунальной службой № 6 филиала Федерального государственного бюджетного учреждения "Центральное жилищно-коммунальное управление" Министерства обороны Российской Федерациипо ОСК Северного флота, на 2021 – 2025 годы"
Номер опубликования: 2901202012040006
Дата опубликования: 04.12.2020
Страница №4 из 6:
Увеличить