Официальное опубликование правовых актов
ОФИЦИАЛЬНОЕ ОПУБЛИКОВАНИЕ
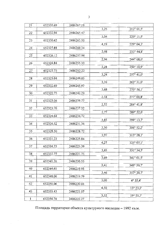
Постановление Инспекции по охране объектов культурного наследия Архангельской области от 24.11.2020 № 27-п
"Об утверждении границ и режимов использования территорий объектов культурного наследия, расположенных на территории городского округа "Северодвинск" Архангельской области"
Номер опубликования: 2901202011300005
Дата опубликования: 30.11.2020
Страница №5 из 8:
Увеличить