Официальное опубликование правовых актов
ОФИЦИАЛЬНОЕ ОПУБЛИКОВАНИЕ
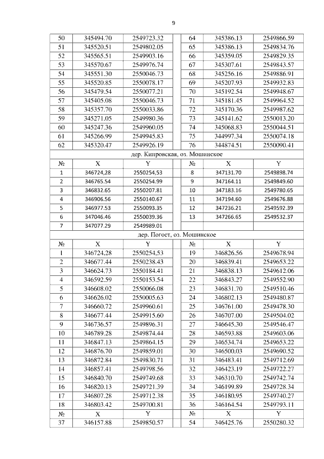
Постановление Министерства природных ресурсов и лесопромышленного комплекса Архангельской области от 17.11.2020 № 43 п
"Об утверждении местоположения береговых линий (границ водных объектов) участков водных объектов в бассейне р. Онеги на участке от устья р. Кена до впадения р. Онега в Белое море в границах поселений муниципального образования "Няндомский муниципальный район" Архангельской области"
Номер опубликования: 2901202011180006
Дата опубликования: 18.11.2020
Страница №10 из 11:
Увеличить