Официальное опубликование правовых актов
ОФИЦИАЛЬНОЕ ОПУБЛИКОВАНИЕ
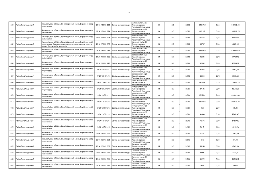
Постановление Министерства имущественных отношений Архангельской области от 07.10.2020 № 24-п
"Об утверждении результатов определения кадастровой стоимости земельных участков в составе земель особо охраняемых территорий и объектов, земель лесного фонда и земель водного фонда на территории Архангельской области"
Номер опубликования: 2901202010120004
Дата опубликования: 12.10.2020
Страница №161 из 492:
Увеличить