Официальное опубликование правовых актов
ОФИЦИАЛЬНОЕ ОПУБЛИКОВАНИЕ
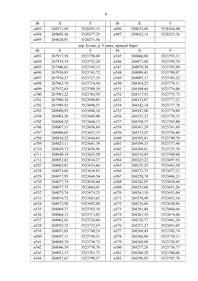
Постановление Министерства природных ресурсов и лесопромышленного комплекса Архангельской области от 06.10.2020 № 36 п
"Об утверждении местоположения береговых линий (границ водных объектов) участков водных объектов в бассейне р. Северная Двина, в границах поселений муниципального образования "Котласский муниципальный район" Архангельской области"
Номер опубликования: 2901202010070014
Дата опубликования: 07.10.2020
Страница №9 из 23:
Увеличить