Официальное опубликование правовых актов
ОФИЦИАЛЬНОЕ ОПУБЛИКОВАНИЕ
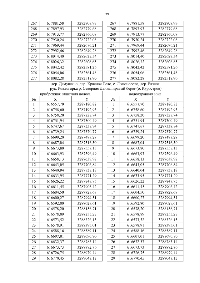
Постановление Министерства природных ресурсов и лесопромышленного комплекса Архангельской области от 01.10.2020 № 33 п
"Об утверждении границ водоохранных зон и прибрежных защитных полос участков рек Северная Двина, Кехта, Лындога (Ракулка), Пеновка в границах поселений муниципального образования "Холмогорский муниципальный район" Архангельской области"
Номер опубликования: 2901202010020002
Дата опубликования: 02.10.2020
Страница №40 из 78:
Увеличить