Официальное опубликование правовых актов
ОФИЦИАЛЬНОЕ ОПУБЛИКОВАНИЕ
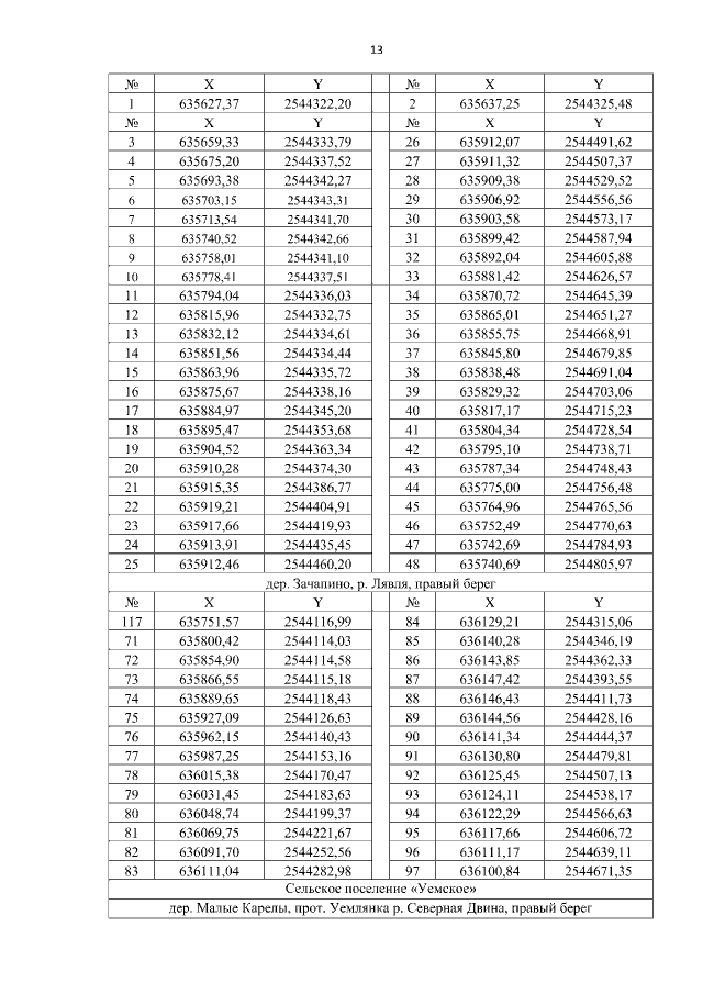
Постановление Министерства природных ресурсов и лесопромышленного комплекса Архангельской области от 24.09.2020 № 29 п
"Об утверждении местоположения береговых линий (границ водных объектов) участков рек Северная Двина, Корелы, Юрас, Ильматиха, Лесная, Ижма, Лявля и озер Лахта, Холмовское, в границах поселений муниципального образования "Приморский муниципальный район" Архангельской области"
Номер опубликования: 2901202009250012
Дата опубликования: 25.09.2020
Страница №14 из 62:
Увеличить