Официальное опубликование правовых актов
ОФИЦИАЛЬНОЕ ОПУБЛИКОВАНИЕ
Постановление Министерства топливно-энергетического комплекса и жилищно-коммунального хозяйства Архангельской области от 27.08.2020 № 69-пн
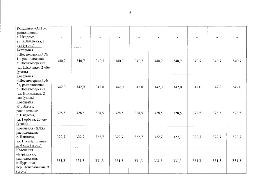
"Об утверждении нормативов удельного расхода топлива на отпущенную с коллекторов тепловую энергию источниками тепловой энергии, эксплуатируемыми обществом с ограниченной ответственностью "Энергия Севера" на территории городского поселения "Няндомское" Няндомского муниципального района Архангельской области, на 2020 – 2039 годы"
Номер опубликования: 2901202008280002
Дата опубликования: 28.08.2020
Страница №10 из 11:
Увеличить