Официальное опубликование правовых актов
ОФИЦИАЛЬНОЕ ОПУБЛИКОВАНИЕ
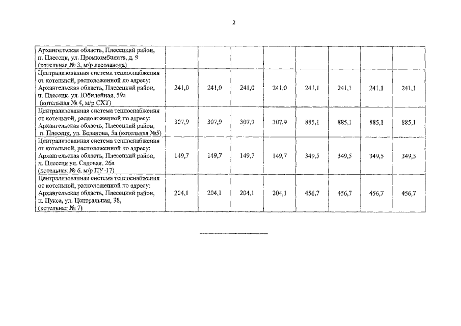
Постановление Министерства топливно-энергетического комплекса и жилищно-коммунального хозяйства Архангельской области от 18.08.2020 № 58-пн
"Об утверждении нормативов технологических потерь при передаче тепловой энергии, теплоносителя по тепловым сетям, расположенным на территории городского поселения "Плесецкое" Плесецкого муниципального района Архангельской области, эксплуатируемым муниципальным унитарным предприятием "Плесецк-Ресурс",на 2020 – 2023 годы"
Номер опубликования: 2901202008190008
Дата опубликования: 19.08.2020
Страница №4 из 4:
Увеличить