Официальное опубликование правовых актов
ОФИЦИАЛЬНОЕ ОПУБЛИКОВАНИЕ
Постановление Министерства природных ресурсов и лесопромышленного комплекса Архангельской области от 24.04.2020 № 23 п
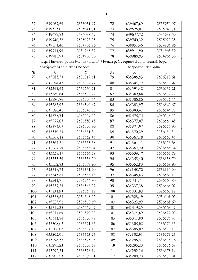
"Об утверждении границ водоохранных зон и прибрежных защитных полос водных объектов в границах поселений городского округа Архангельской области "Город Новодвинск"
Номер опубликования: 2901202004270002
Дата опубликования: 27.04.2020
Страница №4 из 6:
Увеличить