Официальное опубликование правовых актов
ОФИЦИАЛЬНОЕ ОПУБЛИКОВАНИЕ
Постановление Министерства природных ресурсов и лесопромышленного комплекса Архангельской области от 17.04.2020 № 21 п
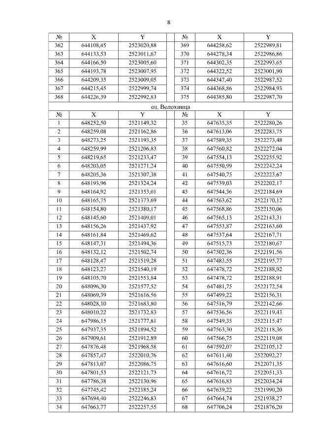
"Об утверждении местоположения береговых линий (границ водных объектов) водотоков (ручьев) Корзихонка, Волохница и озер Корзиха, Волохница в границах поселений городского округа "Город Архангельск" и сельского поселения "Лисестровское" Приморского района Архангельской области"
Номер опубликования: 2901202004200003
Дата опубликования: 20.04.2020
Страница №9 из 10:
Увеличить