Официальное опубликование правовых актов
ОФИЦИАЛЬНОЕ ОПУБЛИКОВАНИЕ
Постановление Министерства природных ресурсов и лесопромышленного комплекса Архангельской области от 17.04.2020 № 20 п
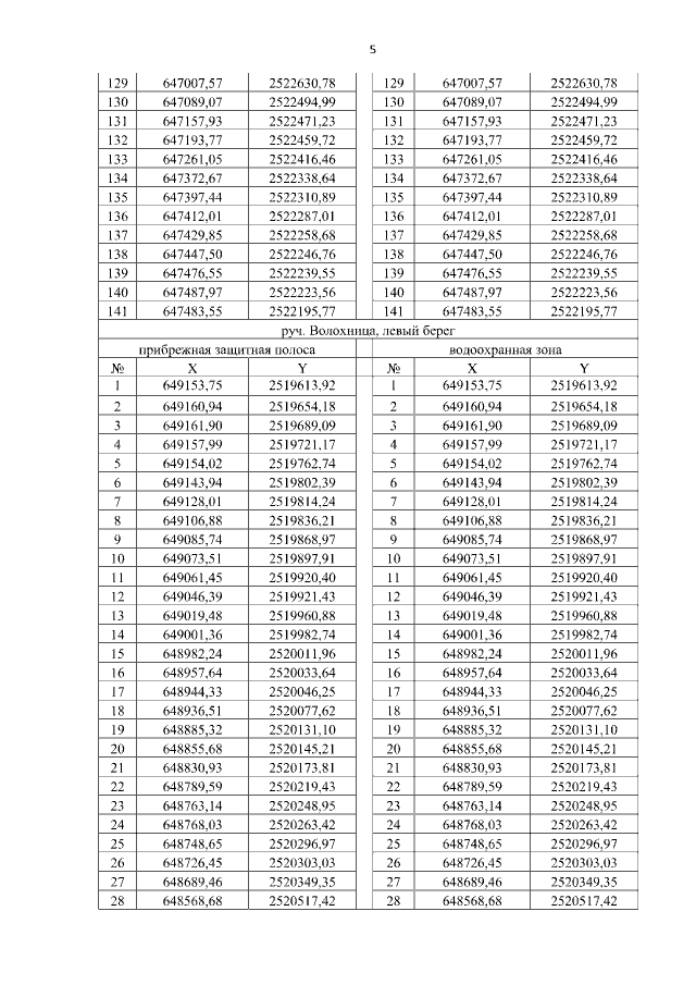
"Об утверждении границ водоохранных зон и прибрежных защитных полос ручьев (водотоков) Волохница, Корзихонка в границах поселений городского округа "Город Архангельск" и сельского поселения "Лисестровское" Приморского района Архангельской области"
Номер опубликования: 2901202004200001
Дата опубликования: 20.04.2020
Страница №6 из 10:
Увеличить