Официальное опубликование правовых актов
ОФИЦИАЛЬНОЕ ОПУБЛИКОВАНИЕ
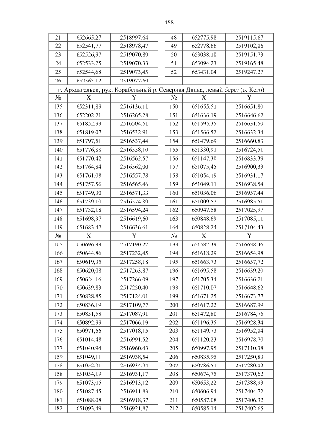
Постановление Министерства природных ресурсов и лесопромышленного комплекса Архангельской области от 14.04.2020 № 19 п
"Об утверждении местоположения береговых линий (границ водных объектов) рек Северная Двина, Ваганиха, Ижма, Повракулка, Долгая Щель, Гнилуха, Юрас, озера Бутыгино в границах поселений городского округа "Город Архангельск"
Номер опубликования: 2901202004150001
Дата опубликования: 15.04.2020
Страница №159 из 219:
Увеличить