Официальное опубликование правовых актов
ОФИЦИАЛЬНОЕ ОПУБЛИКОВАНИЕ
Постановление Министерства природных ресурсов и лесопромышленного комплекса Архангельской области от 18.03.2020 № 13п
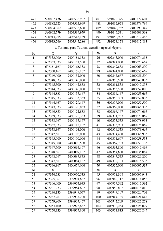
"Об утверждении местоположения береговых линий (границ водных объектов) в бассейне рек, впадающих в Белое море на участке от устья р. Унежма до устья р. Бабья, в границах поселений"
Номер опубликования: 2901202003190001
Дата опубликования: 19.03.2020
Страница №81 из 129:
Увеличить