Официальное опубликование правовых актов
ОФИЦИАЛЬНОЕ ОПУБЛИКОВАНИЕ
Постановление Министерства природных ресурсов и лесопромышленного комплекса Архангельской области от 03.02.2020 № 7п
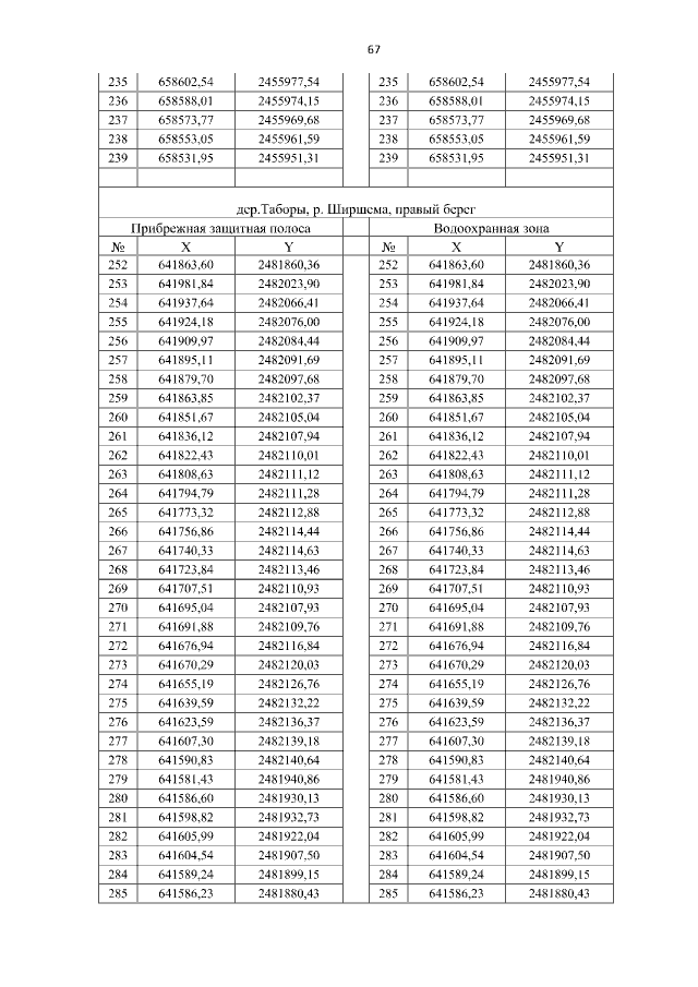
"Об утверждении границ водоохранных зон и прибрежных защитных полос рек Кудьма, Солза, Ненокса, Ширшема, Забориха, Камбалица, Малкурья, Корода, ручья Ненокса и озер Кудьмозеро, Каменное, Кородское, Рефулерное (100 кв), Рефулерное (124 кв), Новое, Белое, Нижнее в границах поселений муниципального образования "Северодвинск"
Номер опубликования: 2901202002040002
Дата опубликования: 04.02.2020
Страница №68 из 197:
Увеличить