Официальное опубликование правовых актов
ОФИЦИАЛЬНОЕ ОПУБЛИКОВАНИЕ
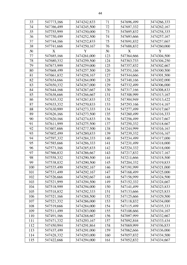
Постановление Министерства природных ресурсов и лесопромышленного комплекса Архангельской области от 29.01.2020 № 4п
"Об утверждении местоположения береговых линий (границ водных объектов) в бассейне р. Пинега на участке от устья р. Шоча до устья р. Покшеньга, в границах поселений"
Номер опубликования: 2901202002030002
Дата опубликования: 03.02.2020
Страница №45 из 87:
Увеличить