Официальное опубликование правовых актов
ОФИЦИАЛЬНОЕ ОПУБЛИКОВАНИЕ
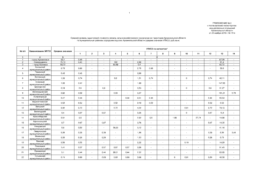
Постановление Министерства имущественных отношений Архангельской области от 21.11.2019 № 17-п
"Об утверждении среднего уровня кадастровой стоимости земель населенных пунктов и земель сельскохозяйственного назначения на территории Архангельской области"
Номер опубликования: 2901201911260001
Дата опубликования: 26.11.2019
Страница №113 из 114:
Увеличить