Официальное опубликование правовых актов
ОФИЦИАЛЬНОЕ ОПУБЛИКОВАНИЕ
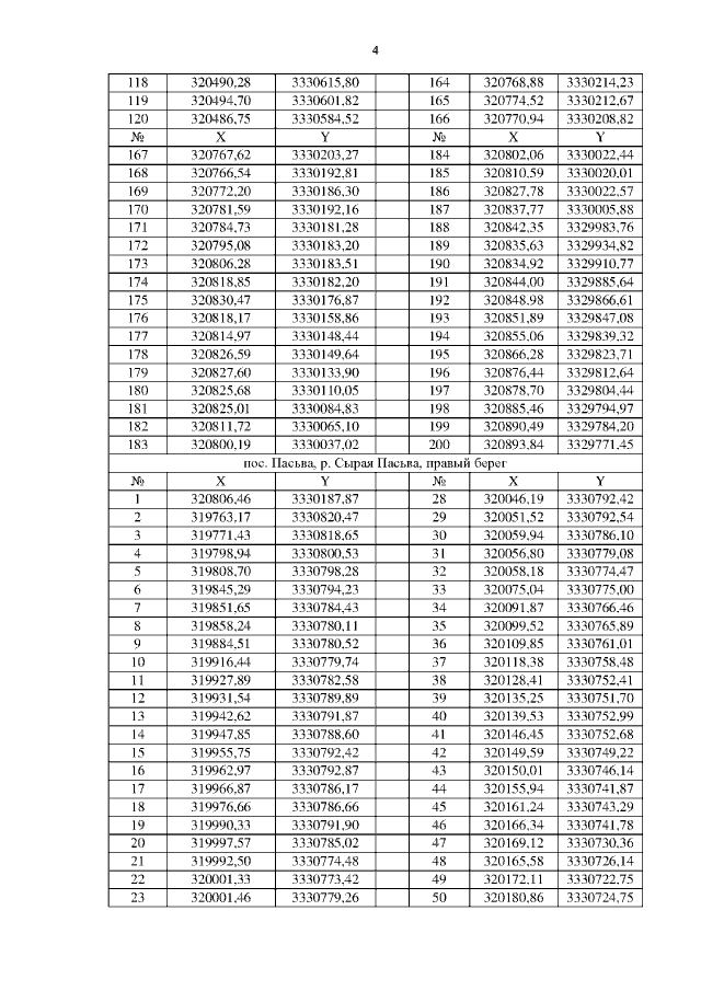
Постановление Министерства природных ресурсов и лесопромышленного комплекса Архангельской области от 11.04.2019 № 10п
"Об утверждении местоположения береговых линий (границ водных объектов) в бассейне р. Вага на участке от устья р. Устья до впадения р. Вага в р. Северная Двина, в границах поселений"
Номер опубликования: 2901201904160001
Дата опубликования: 16.04.2019
Страница №5 из 103:
Увеличить