Официальное опубликование правовых актов
ОФИЦИАЛЬНОЕ ОПУБЛИКОВАНИЕ
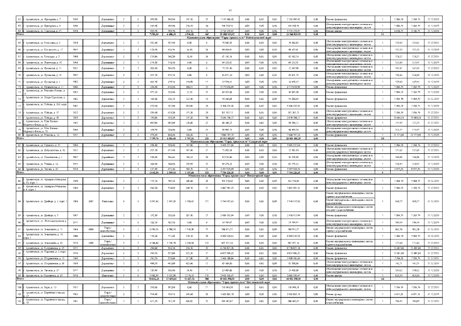
Постановление Министерства топливно-энергетического комплекса и жилищно-коммунального хозяйства Архангельской области от 04.04.2019 № 13-п
"О внесении изменений в краткосрочный план реализации региональной программы капитального ремонта общего имущества в многоквартирных домах, расположенных на территории Архангельской области, на 2017 – 2019 годы"
Номер опубликования: 2901201904080001
Дата опубликования: 08.04.2019
Страница №43 из 95:
Увеличить