Официальное опубликование правовых актов
ОФИЦИАЛЬНОЕ ОПУБЛИКОВАНИЕ
Постановление Министерства природных ресурсов и лесопромышленного комплекса Архангельской области от 02.02.2019 № 6п
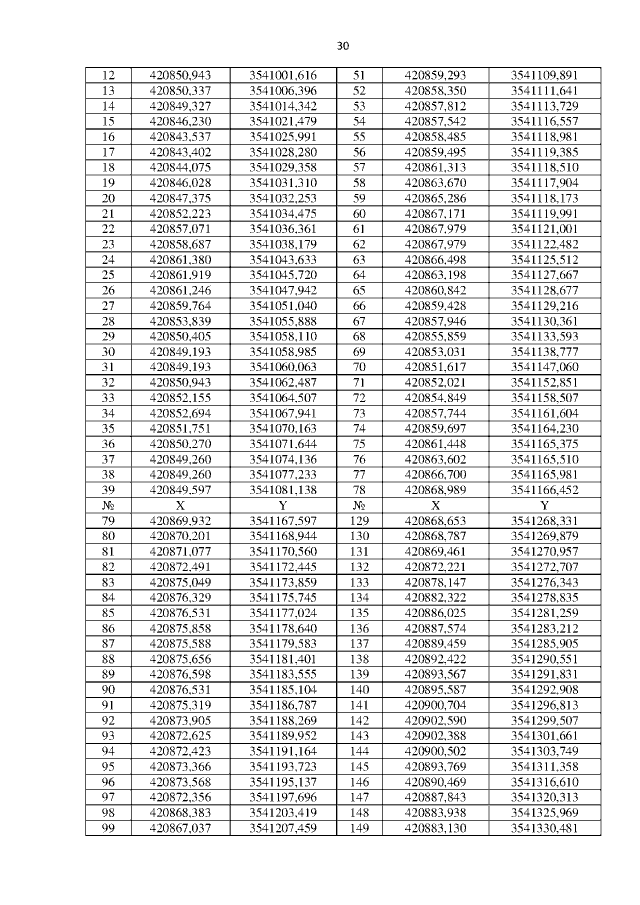
"Об утверждении местоположения береговых линий (границ водных объектов) в бассейне р. Пинега на участке от истока р. Пинега до устья р. Шоча, в границах поселений"
Номер опубликования: 2901201902080001
Дата опубликования: 08.02.2019
Страница №31 из 64:
Увеличить