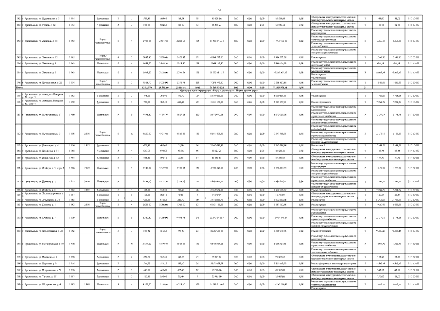
Постановление Министерства топливно-энергетического комплекса и жилищно-коммунального хозяйства Архангельской области от 17.01.2019 № 1-п
"О внесении изменений в краткосрочный план реализации региональной программы капитального ремонта общего имущества в многоквартирных домах, расположенных на территории Архангельской области, на 2017 – 2019 годы"
"О внесении изменений в краткосрочный план реализации региональной программы капитального ремонта общего имущества в многоквартирных домах, расположенных на территории Архангельской области, на 2017 – 2019 годы"
Номер опубликования: 2901201901220007
Дата опубликования:
22.01.2019
