Официальное опубликование правовых актов
ОФИЦИАЛЬНОЕ ОПУБЛИКОВАНИЕ
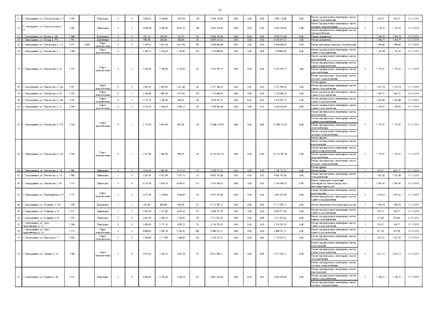
Постановление Министерства топливно-энергетического комплекса и жилищно-коммунального хозяйства Архангельской области от 17.01.2019 № 1-п
"О внесении изменений в краткосрочный план реализации региональной программы капитального ремонта общего имущества в многоквартирных домах, расположенных на территории Архангельской области, на 2017 – 2019 годы"
Номер опубликования: 2901201901220007
Дата опубликования: 22.01.2019
Страница №47 из 90:
Увеличить