Официальное опубликование правовых актов
ОФИЦИАЛЬНОЕ ОПУБЛИКОВАНИЕ
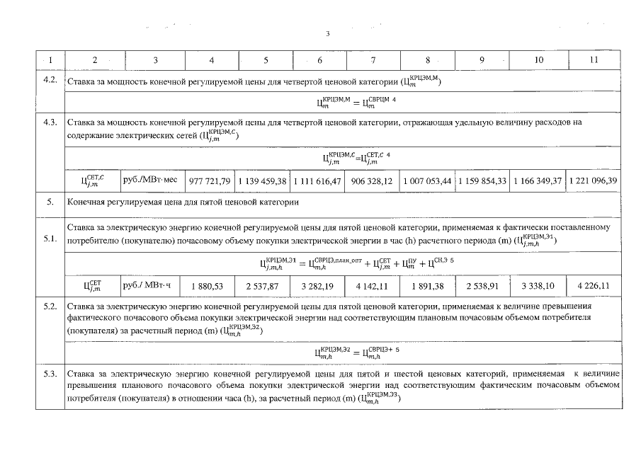
Постановление агентства по тарифам и ценам Архангельской области от 27.12.2018 № 81-э/19
"Об установлении цен (тарифов) на электрическую энергию (мощность), поставляемую ООО "РУСЭНЕРГОРЕСУРС" покупателям на розничных рынках на территориях, объединенных в неценовые зоны оптового рынка, за исключением электрической энергии (мощности), поставляемой населению и приравненным к нему категориям потребителей"
Номер опубликования: 2901201812290026
Дата опубликования: 29.12.2018
Страница №12 из 28:
Увеличить