Официальное опубликование правовых актов
ОФИЦИАЛЬНОЕ ОПУБЛИКОВАНИЕ
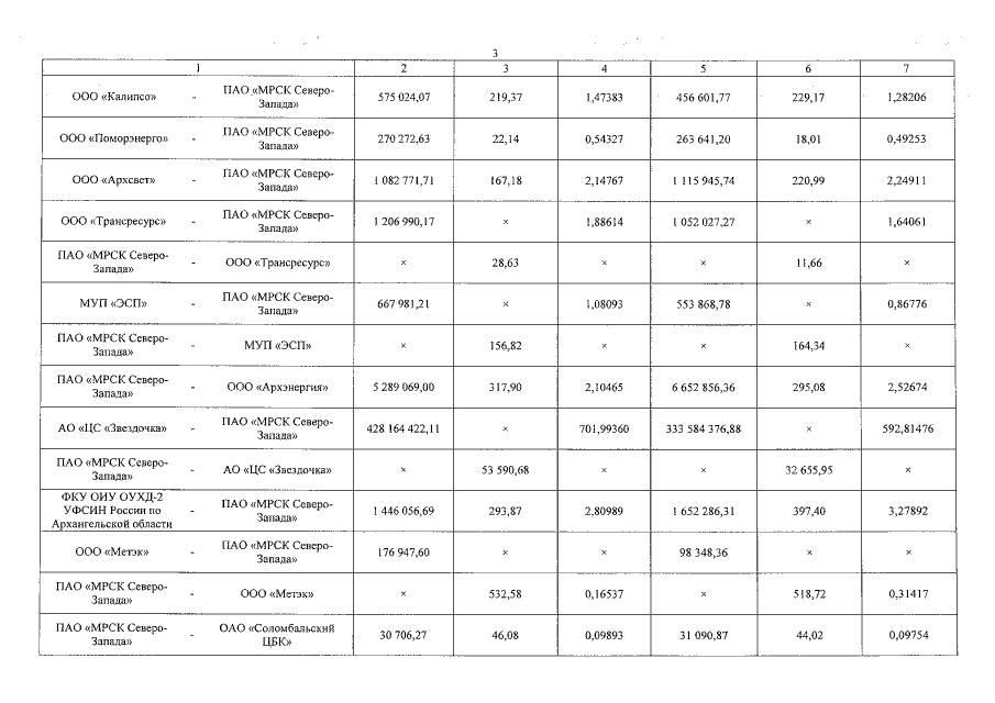
Постановление агентства по тарифам и ценам Архангельской области от 27.12.2018 № 81-э/3
"Об установлении индивидуальных тарифов на услуги по передаче электрической энергии для взаиморасчетов между сетевыми организациями"
Номер опубликования: 2901201812290019
Дата опубликования: 29.12.2018
Страница №4 из 5:
Увеличить