Официальное опубликование правовых актов
ОФИЦИАЛЬНОЕ ОПУБЛИКОВАНИЕ
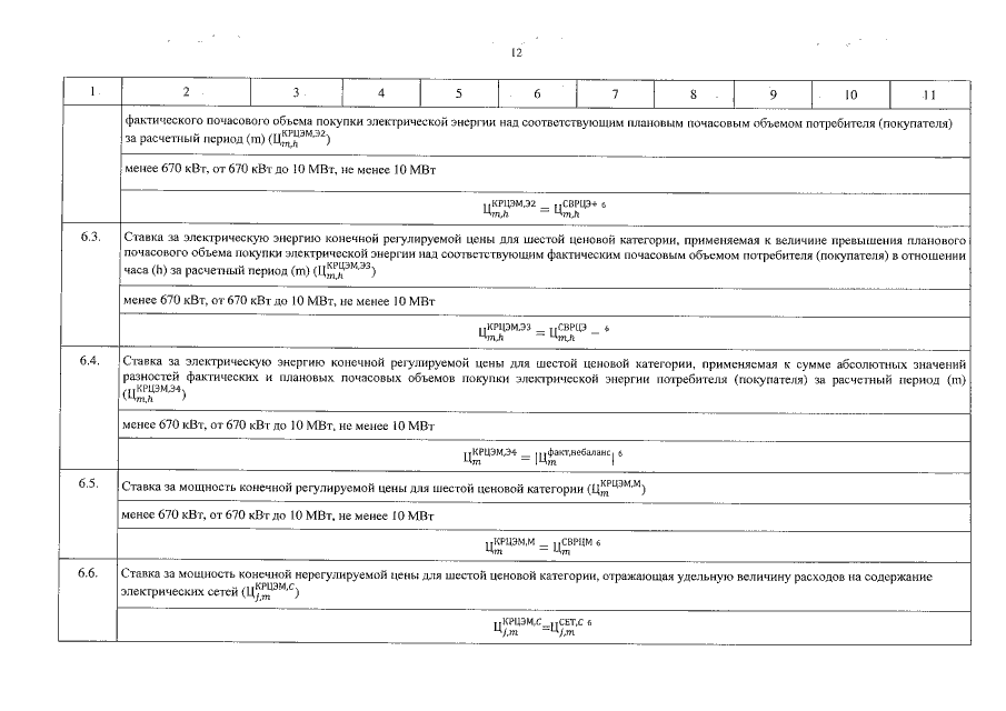
Постановление агентства по тарифам и ценам Архангельской области от 27.12.2018 № 81-э/17
"Об установлении цен (тарифов) на электрическую энергию (мощность), поставляемую АО "Межрегионэнергосбыт" покупателям на розничных рынках на территориях, объединенных в неценовые зоны оптового рынка, за исключением электрической энергии (мощности), поставляемой населению и приравненным к нему категориям потребителей"
Номер опубликования: 2901201812290016
Дата опубликования: 29.12.2018
Страница №22 из 37:
Увеличить