Официальное опубликование правовых актов
ОФИЦИАЛЬНОЕ ОПУБЛИКОВАНИЕ
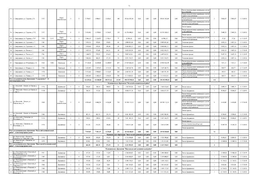
Постановление Министерства топливно-энергетического комплекса и жилищно-коммунального хозяйства Архангельской области от 29.12.2018 № 247-п
"О внесении изменений в краткосрочный план реализации региональной программы капитального ремонта общего имущества в многоквартирных домах, расположенных на территории Архангельской области, на 2017 – 2019 годы"
Номер опубликования: 2901201812290003
Дата опубликования: 29.12.2018
Страница №52 из 96:
Увеличить