Официальное опубликование правовых актов
ОФИЦИАЛЬНОЕ ОПУБЛИКОВАНИЕ
Постановление Министерства финансов Архангельской области от 15.10.2018 № 32-пф
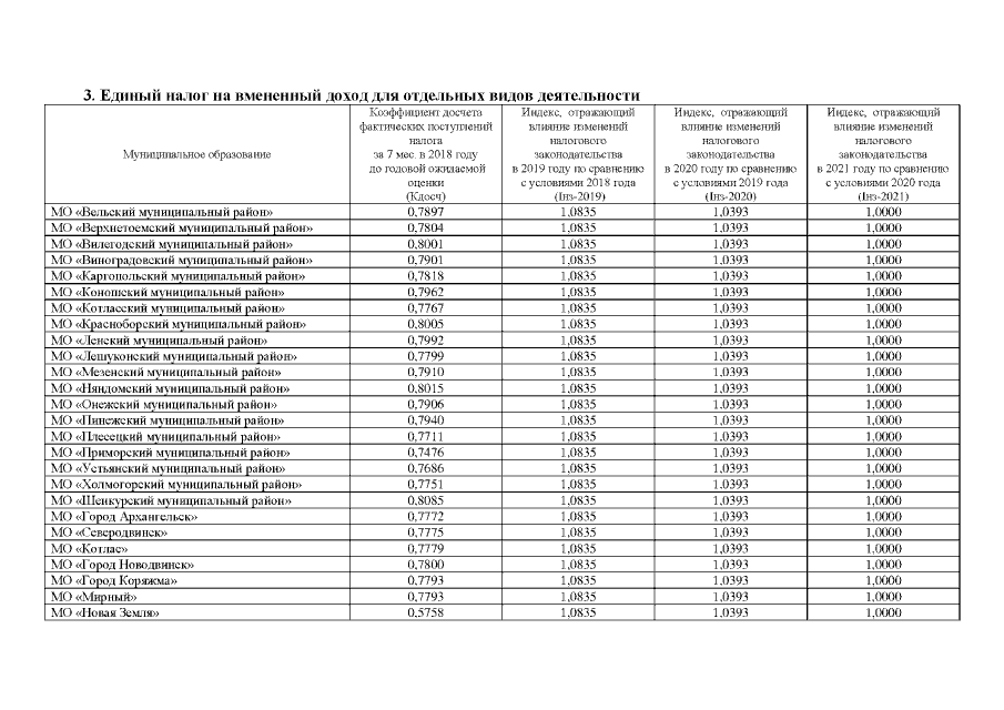
"Об утверждении отдельных показателей для расчета дотаций на выравнивание бюджетной обеспеченности поселений и дотаций на выравнивание бюджетной обеспеченности муниципальных районов (городских округов) на 2019 год и на плановый период 2020 и 2021 годов"
Номер опубликования: 2901201810160002
Дата опубликования: 16.10.2018
Страница №6 из 11:
Увеличить