Официальное опубликование правовых актов
ОФИЦИАЛЬНОЕ ОПУБЛИКОВАНИЕ
Постановление Министерства природных ресурсов и лесопромышленного комплекса Архангельской области от 05.09.2018 № 25п
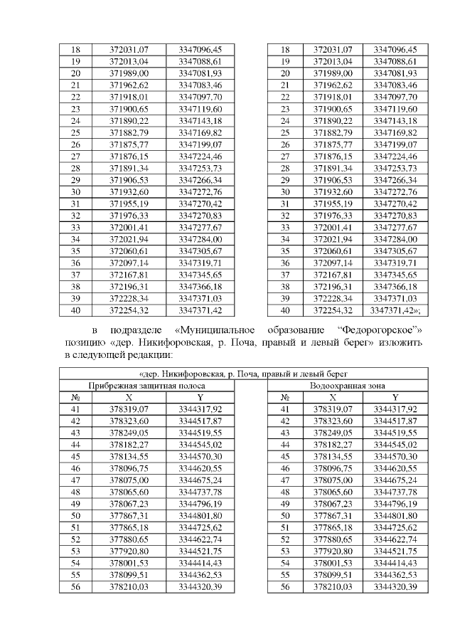
"О внесении изменений в приложение № 2 к постановлению министерства природных ресурсов и лесопромышленного комплекса Архангельской области от 04 декабря 2017 года № 35п"
Номер опубликования: 2901201809120002
Дата опубликования: 12.09.2018
Страница №3 из 4:
Увеличить