Официальное опубликование правовых актов
ОФИЦИАЛЬНОЕ ОПУБЛИКОВАНИЕ
Постановление Министерства природных ресурсов и лесопромышленного комплекса Архангельской области от 14.02.2018 № 2п
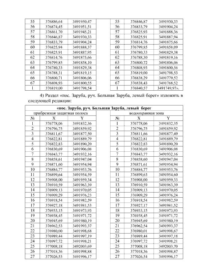
"О внесении изменений в Постановление министерства природных ресурсов и лесопромышленного комплекса Архангельской области от 13 декабря 2017 года № 37п "Об утверждении границ водоохранных зон водных объектов и их прибрежных защитных полос в бассейне р. Северная Двина на участке от устья р. Вычегда до устья р. Верхняя Тойма, в границах поселений"
Номер опубликования: 2901201802160001
Дата опубликования: 16.02.2018
Страница №7 из 8:
Увеличить