Официальное опубликование правовых актов
ОФИЦИАЛЬНОЕ ОПУБЛИКОВАНИЕ
Постановление Министерства природных ресурсов и лесопромышленного комплекса Архангельской области от 13.12.2017 № 38п
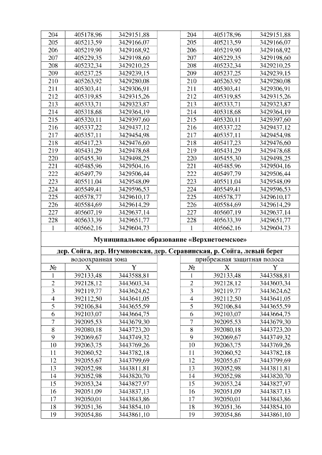
"Об утверждении границ водоохранных зон водных объектов и их прибрежных защитных полос в бассейне р. Северная Двина на участке от устья р. Верхняя Тойма до устья реки Вага, в границах поселений"
Номер опубликования: 2901201712220052
Дата опубликования: 22.12.2017
Страница №412 из 470:
Увеличить