Официальное опубликование правовых актов
ОФИЦИАЛЬНОЕ ОПУБЛИКОВАНИЕ
Постановление Министерства природных ресурсов и лесопромышленного комплекса Архангельской области от 05.12.2017 № 36 п
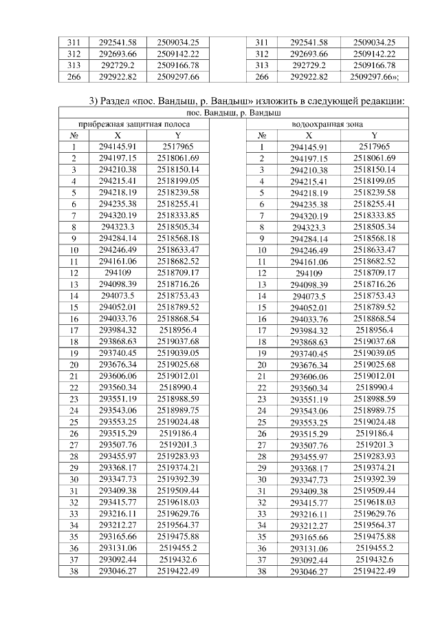
"О внесении изменений в постановление министерства природных ресурсов и лесопромышленного комплекса Архангельской области от 30 октября 2017 года № 31п"
Номер опубликования: 2901201712060015
Дата опубликования: 06.12.2017
Страница №13 из 19:
Увеличить