Официальное опубликование правовых актов
ОФИЦИАЛЬНОЕ ОПУБЛИКОВАНИЕ
Постановление Министерства финансов Архангельской области от 13.10.2017 № 33-пф
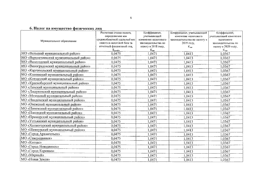
"Об утверждении отдельных показателей для расчета дотаций на выравнивание бюджетной обеспеченности поселений и дотаций на выравнивание бюджетной обеспеченности муниципальных районов (городских округов) на 2018 год и на плановый период 2019 и 2020 годов"
Номер опубликования: 2901201710240003
Дата опубликования: 24.10.2017
Страница №9 из 11:
Увеличить