Официальное опубликование правовых актов
ОФИЦИАЛЬНОЕ ОПУБЛИКОВАНИЕ
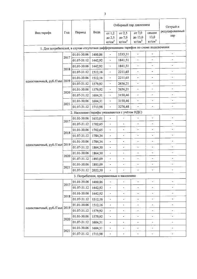
Постановление агентства по тарифам и ценам Архангельской области от 29.09.2017 № 44-т/1
"О внесении изменений в постановление агентства по тарифам и ценам Архангельской области от 20 декабря 2016 года № 66-т/9"
Номер опубликования: 2901201709290001
Дата опубликования: 29.09.2017
Страница №4 из 9:
Увеличить