Официальное опубликование правовых актов
ОФИЦИАЛЬНОЕ ОПУБЛИКОВАНИЕ
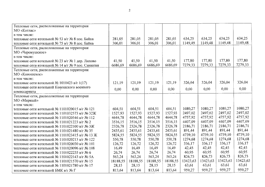
Постановление Министерства топливно-энергетического комплекса и жилищно-коммунального хозяйства Архангельской области от 23.08.2017 № 103-пн
"Об утверждении нормативов технологических потерь при передаче тепловой энергии, теплоносителя на 2017-2020 годы"
Номер опубликования: 2901201708250003
Дата опубликования: 25.08.2017
Страница №3 из 5:
Увеличить