Официальное опубликование правовых актов
ОФИЦИАЛЬНОЕ ОПУБЛИКОВАНИЕ
Постановление Министерства топливно-энергетического комплекса и жилищно-коммунального хозяйства Архангельской области от 25.07.2017 № 100-п
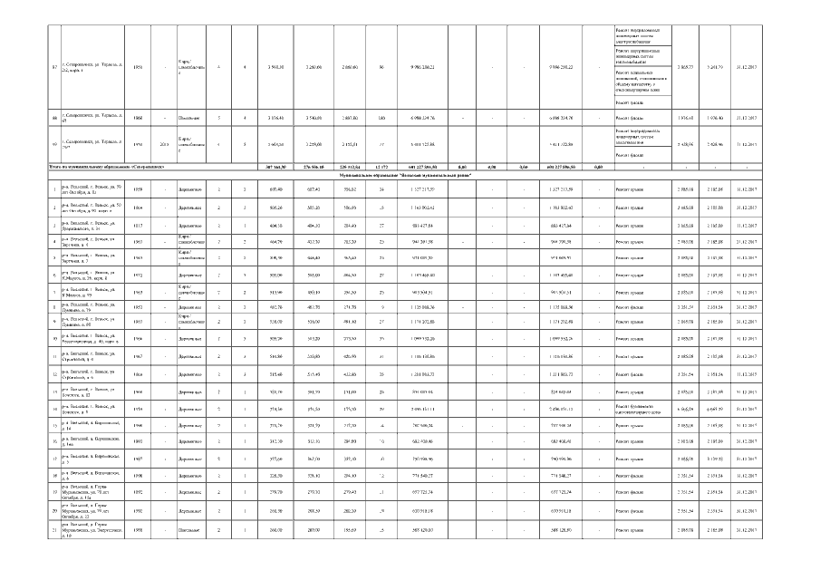
"О внесении изменений в краткосрочный план реализации региональной программы капитального ремонта общего имущества в многоквартирных домах, расположенных на территории Архангельской области, на 2017 – 2019 годы"
Номер опубликования: 2901201707280001
Дата опубликования: 28.07.2017
Страница №27 из 103:
Увеличить