Официальное опубликование правовых актов
ОФИЦИАЛЬНОЕ ОПУБЛИКОВАНИЕ
Постановление Министерства природных ресурсов и лесопромышленного комплекса Архангельской области от 06.06.2017 № 16п
"О внесении изменений в постановление министерства природных ресурсов и лесопромышленного комплекса Архангельской области от 07 марта 2017 года № 3п"
Номер опубликования: 2901201706080002
Дата опубликования: 08.06.2017
Страница №8 из 10:
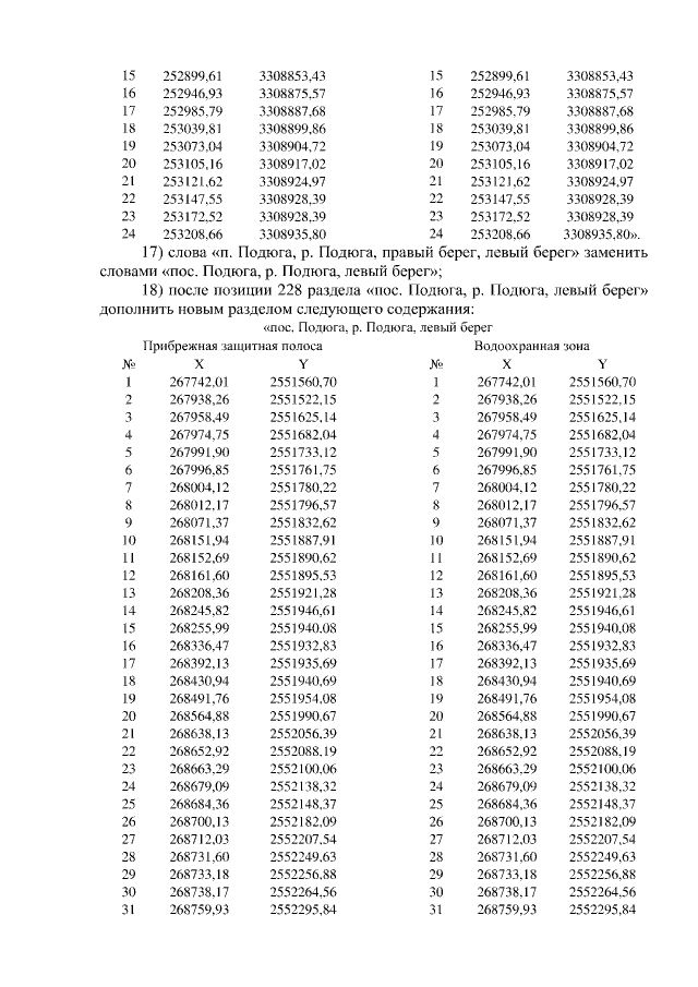
Увеличить