Официальное опубликование правовых актов
ОФИЦИАЛЬНОЕ ОПУБЛИКОВАНИЕ
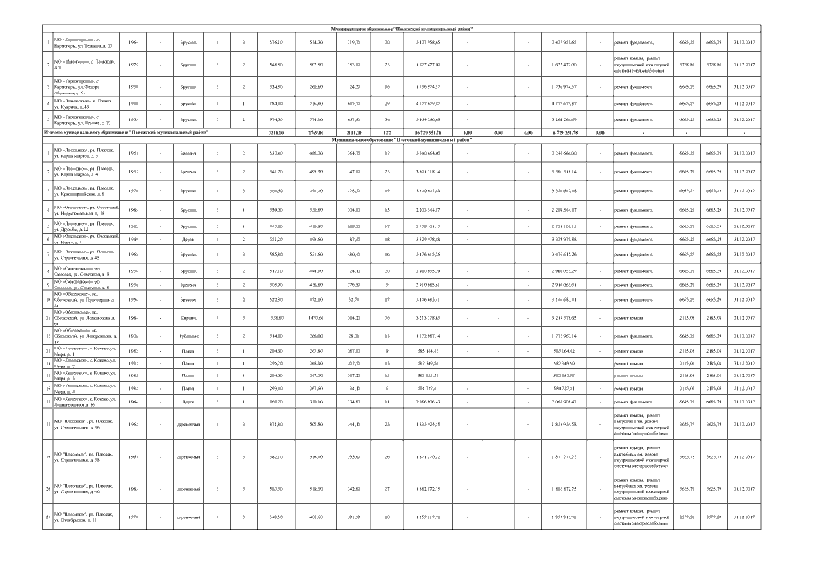
Постановление Министерства топливно-энергетического комплекса и жилищно-коммунального хозяйства Архангельской области от 26.04.2017 № 36-п
"О внесении изменений в постановление министерства топливно-энергетического комплекса и жилищно-коммунального хозяйства Архангельской области от 20 сентября 2016 года № 65-п"
Номер опубликования: 2901201704280001
Дата опубликования: 28.04.2017
Страница №25 из 90:
Увеличить