Официальное опубликование правовых актов
ОФИЦИАЛЬНОЕ ОПУБЛИКОВАНИЕ
Постановление Министерства природных ресурсов и лесопромышленного комплекса Архангельской области от 07.03.2017 № 5п
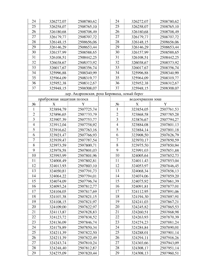
"Об утверждении границ водоохранных зон водных объектов и их прибрежных защитных полос в бассейне р. Онега на территории Архангельской области на участке от административной границы с Вологодской областью до устья р. Кена, в границах поселений"
Номер опубликования: 2901201703100007
Дата опубликования: 10.03.2017
Страница №97 из 126:
Увеличить